解析力学
解析力学とは
○解析力学とは、簡単に説明すればニュートン力学における運動方程式の記述を座標変換などの解析的な手法を用い、力学の現象を数学的に洗練された形にあらためて表現しなおしたものをいいます。
座標変換の簡単な例━【ベクトルの回転変換】
原点
を共通に
の周りに反時計回りに角度
だけ回転させた直交座標系を極座標
座標系とし、元の座標系
座標系との関係をベクトル
を使って以下の用の表現します。

座標変換

座標を極座標変数
で表すと、

これを時間
で微分します。


ここで、

とすれば、

さらに直交座標系における加速度成分を示すと、

これらにより極座標系による加速度成分を求めれば、

以下のように計算していきます。




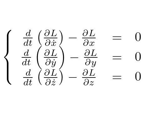
タイトルにでかでかと“解析力学”と書いてますが、内容的にはラグランジュ方程式、オイラー方程式の組み立て方、オイラー式を使った問題などの基本的な部分と、変分原理に関して典型的な事項についてのみ軽く説明してるだけなのであまり詳しくはやっていません。
あくまで初学者、あるいは一般の方が、解析力学というものはどんなものかと知るような場合に適した内容になっているかと思います。ただしある程度の微分積分学の知識が必要です。

Title Text
Lorem ipsum dolor sit amet, consectetur adipiscing elit, sed do eiusmod tempor incididunt ut labore et dolore magna aliqua.



